Werbung

Träume 2011

Alles zu (Un)wetter relevant für die Schweiz
Benutzeravatar
Cyrill
Beiträge: 2733
Registriert: Do 27. Mär 2008, 07:01
Geschlecht: männlich
Wohnort: 6215 Beromünster
Hat sich bedankt: 2073 Mal
Danksagung erhalten: 1682 Mal
Kontaktdaten:

Re: Träume 2011

Beitrag von Cyrill »

Uwe/Eschlikon hat geschrieben:Hallo Cyrill (und alle anderen)

Wobei ich gerne einwerfen möchte, was man denn unter Extremwetter versteht? Und in welcher Form sich das äussert? Wo ist die Grenze zw. extrem und nicht extrem? ;)

Ich frage mich, ist Extremwetter wirklich extrem? Oder nur unsere Wahrnehmung?
War etwas OT, ist mir aber spontan durch den Kopf gegangen ;)

Gruss, Uwe
Hoi Uwe
Berechtigte Frage "Extrem", bzw. "aussergewöhnlich" steht ja immer in Bezug zu dem, was wir (der Mensch) als "gewöhnlich" betrachten. Extrem-Amplituden in der Wetterküche (Monsterhagel, Tornado-Outbrakes, heftige Kältewellen etc. gibt es seit jeher, treten aber selten auf. Ich verbinde "extrem" mit "selten (gross, heftig etc.)"
Item: eine Schadensbilanz mit "extrem" zu verbinden, kann manchmal verwirrend sein; wie am Beispiel der Fujita-Skala (Stufen nach Schadensmuster) gut erkennbar ist. Würden die Spanplatten-Häuschen im mittleren Westen der USA, die nach einem Tornadodurchgang aussehen, als hätte jemand ein grosses Mikado herumgeworfen, aus armiertem Beton oder aus massivem Mauerwerk bestehen, wäre der Schaden oft geringer. So war doch die Einschätzung der Stärke des Hautmont-Tornados (Frankreich) im Juli 2008 entsprechend schwierig und man hat nur bei vergleichbaren Materialien (Autos, Bäume) eine reale Chance eine Verifizierung in Europa durchzuführen.
Solange aber Regierungen (wie in Brasilien; heute im TV diskutiert) keine siedlungsfreien Gebiete in Gefahrenzonen frei halten und Menschen ihre Häuser einfach irgendwie und irgendwo hinstellen, wird die Schadensbilanz immer höher, bzw. katastrophal sein.
Ich habe längere Zeit in Nordafrika gelebt und z.B. gesehen, wie dort die Menschen bauen: die Backsteine (beim Umbau meiner Wohnung in Luxor) konnte ich von Hand zerbrechen, wie Knäckebrot :shock: . So zerbröselt in diesen Ländern immer wieder mal ein Haus......
Z.B. liegt vorallem der nordöstliche Teil von Istanbul genau auf einer tektonischen Verwerfung und der Termin für ein Erdbeben der Stärke 7,2-7,5 auf der Richterskala ist schon längst überfällig.... Wenn's da mal rüttelt, dann "gute Nacht".

Gruss
Cyrill

@ Urbi
Vielleicht hast Du recht. Ich stützte mich auf Aussagen im deutschen Fernsehen. Angeblich soll das Hochwasser in dieser engen Stelle, wo der Tanker sank, das Fliessverhalten und die -geschwindigkeit des Rheins entscheidend verändert haben. Aber ich kann dies nicht beurteilen....

Gruss Cyrill

Mike (Jura, Basel)
Beiträge: 185
Registriert: Do 16. Dez 2010, 17:36
Danksagung erhalten: 353 Mal

Re: Träume 2011

Beitrag von Mike (Jura, Basel) »

Hoi Cyrill u.a.
Ich habe eben etwas in dem Thread gestöbert und in den interessanten Verlinkungen.
Da sind viele diskussionswürdige Theorien und Gedanken formuliert, doch habe ich überhaupt keine Lust
diese in einem Träume Tread 2011 zu diskutieren. Der Thread ist mir zu schwammig, nichtssagend.
DerTräumetread hat für mich seine Berechtigung, um sein Wunschwetter zu äussern (kann man ja begründen, warum es Wunschwetter ist),
oder eine Dokumentation von aussergewöhnlichen Modellkarten, die das (ein)Traumwetter zeigen.

In dem Thread werden viele spannende Themen angesprochen: La Nina, Langfristfaktoren Sommer, Mittelfrist Winterrückkehr,
Was heisst Extremwetter, der Faktor Mensch und Schäden durch das Wetter...

Alles Themen, die durchaus einen eigenen Thread verdienen würden. Ich verstehe die Tendenz in diesem Forum zu den Riesenthreads nicht.
Auch sind Langfristprognosen oder Vermutungen fast Tabu, dabei sind Prognosen und Spekulationen auch über die 14 Tagefrist hinaus hochspannend
und die treffende Prognose ein Wunsch von vielen Meteorologen.

Ich wünsche mir etwas mehr Mut für prägnante Threadthemen, so dass auch wieder mehr Profis
ihr Fachwissen zu einem klar gefassten Thema beisteuern können/wollen.

Gruss, Mike


Lightningfan Nadine
Beiträge: 93
Registriert: Mi 22. Jul 2009, 13:06
Geschlecht: weiblich
Wohnort: 3110 Münsingen
Hat sich bedankt: 37 Mal
Danksagung erhalten: 24 Mal

Re: Träume 2011

Beitrag von Lightningfan Nadine »

etwas OT @ Cyrill:

Die Richterskala geht aber nur bis max. 6.5, alles, was darüber liegt, hat mit der Richterskala nichts mehr zu tun:
Das erklärt der Leiter der Erdbebenstation Bensberg, Dr. Klaus-G. Hinzen: "Das liegt daran, dass die Messgeräte, mit denen Richter die Skala entwickelt hat, nur einen bestimmten Teil der Bodenbewegungen bei einem Erdbeben erfassen können. Und da passiert Folgendes: Die Beben werden stärker und die Zahlenwerte steigen an – aber nur bis etwa 6,5. Darüber hinaus sehen die Seismometer den Rest der Bodenbewegungen nicht mehr und deswegen werden die Zahlenwerte nicht mehr größer." Zusammengefasst: Die Richterskala hört bei 6,5 auf. Nur in den Medien gibt es sie mit größeren Zahlenwerten.


http://www.wdr.de/tv/quarks/sendungsbei ... dbeben.jsp

Sorry, es ist wie ein Alien aus mir rausgebrochen, musste es einfach sagen! :-D
auf einen gewitterreichen Sommer 2018 :-D !

Benutzeravatar
Alfred
Beiträge: 10469
Registriert: Mo 21. Jul 2003, 16:23
Geschlecht: männlich
Wohnort: 8037 Zürich
Hat sich bedankt: 49 Mal
Danksagung erhalten: 90 Mal

Re: Träume 2011

Beitrag von Alfred »

Sali zäme

Ich könnte mir auch vorstellen, dass z.B. am 25. Januar die Luftmassen wirklich im Linksverkehr um die Inseln herumkurven! Das hätte auch seine Vorteile :mrgreen:

Bild

Gruss, Alfred

Chicken3gg

Re: Träume 2011

Beitrag von Chicken3gg »

GFS siehts ja so (oder irre ich mich da, bin kein Profi...)

Jedenfalls kommt ähnlich wie gestern ein Niederschlagsband von Norden, bringt in Deutschland verbreitet 10-20cm Neuschnee und hier am nördlichen Rand der Schweiz vielleicht auch noch 5cm...
schön wärs allemal!

Benutzeravatar
raffitio
Beiträge: 200
Registriert: Do 15. Jan 2009, 10:40
Geschlecht: männlich
Wohnort: 8953 Dietikon
Hat sich bedankt: 5 Mal
Danksagung erhalten: 40 Mal

Re: Träume 2011

Beitrag von raffitio »

Eigentlich müssten wir für dieses Ereignis schon fast einen "Albträume 2011 Thread" eröffnen, denn wenn das wirklich so eintreffen würde, dann... :help:

Bild

Quelle: wzforum.de

Aber eben, (Alb)Träume und so... ;)

Nestor
Beiträge: 44
Registriert: Sa 27. Dez 2008, 18:22
Geschlecht: männlich
Wohnort: 5600 Lenzburg

Re: Träume 2011

Beitrag von Nestor »

Und was Konkret meinst du damit? Sehe nichts Ungewöhnliches ausser der Rekordtiefe Luftdruckwert, der uns aber hier in der CH nicht gross stört. Mal ganz abgesehen davon dass diese Karte aus dem tiefsten Glaskugelbereich stammt und morgen schon wieder Geschichte sein wird .....

Gruss Ernest
Zuletzt geändert von Nestor am Fr 28. Jan 2011, 00:02, insgesamt 1-mal geändert.


Benutzeravatar
raffitio
Beiträge: 200
Registriert: Do 15. Jan 2009, 10:40
Geschlecht: männlich
Wohnort: 8953 Dietikon
Hat sich bedankt: 5 Mal
Danksagung erhalten: 40 Mal

Re: Träume 2011

Beitrag von raffitio »

Nestor hat geschrieben:Und was Konkret meinst du damit? Sehe nichts Ungewöhnliches ausser der Rekordtiefe Luftdruckwert, der uns aber hier in der CH nicht gross stört. Mal ganz abgesehen davon dass diese Karte aus dem tiefsten Glaskugelbereich stammt und morgen schon wieder Geschichte sein wird .....

Gruss Ernest

Hi Ernest

Wie du korrekterweise geschrieben hast, handelt es sich um einen Orkan mit extrem tiefen Luftdruckwerten...
Klar wird dieses Szenario zu 99.98 Prozent nicht so eintreffen und klar dass dieser Orkan an der abgebildeten Position keinen wesentlichen Einfluss auf uns hätte, zumindest nicht in Sachen Sturmwinde, aber immerhin würden wir so in den Genuss von sehr milder Luft geraten, was im Februar auch nicht alltäglich ist...

Aber eben, da es sich hier um den "Träume Thread" handelt, hab ich mir mal erlaubt diese Karte zu verewigen ;)


Gruss

Benutzeravatar
Alfred
Beiträge: 10469
Registriert: Mo 21. Jul 2003, 16:23
Geschlecht: männlich
Wohnort: 8037 Zürich
Hat sich bedankt: 49 Mal
Danksagung erhalten: 90 Mal

Re: Träume 2011

Beitrag von Alfred »

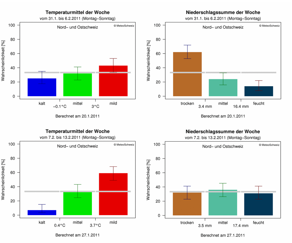
Hoi zäme

Wann kommt der Grosse Schnee :!:    Etwa auf Ostern :unschuldig:

Bild
http://www.meteoschweiz.admin.ch/web/de ... blick.html

Gruss, Alfred

Chicken3gg

Re: Träume 2011

Beitrag von Chicken3gg »

Wegen des vielen Schnees in den nächsten 72h sind nicht mal mehr die Landesgrenzen erkennbar, nur in Deutschland schimmernt noch einige Grenzen hindurch :mrgreen: :mrgreen: :mrgreen:
Bild

Antworten